ул.Симферопольская
дом 5, офис 9
Корзина
Корзина пуста
Электрическое поле (к задачнику Рымкевича для 10-11 классов). Формула заряда q
Формула электрического заряда, q
Определение и формула электрического заряда
Фундаментальным свойством электрического заряда является существование двух видов зарядов: положительных и отрицательных. Заряды, имеющие один знак, отталкиваются. Взаимодействие зарядов разного знака определяют как притяжение. Телу можно сообщить заряд любого знака. В макроскопическом теле заряды разных знаков могут взаимно компенсировать друг друга.
Электрический заряд является релятивистски инвариантной величиной. Это значит, что величина заряда не зависит от системы отсчета, не важно, движется заряд (заряженное тело) или покоится.
Электрический заряд тела находят как суммарный заряд его частей.
Разделения электрических зарядов разных знаков можно добиться путем электризации посредством непосредственного контакта тел (например, трением) или без контакта, например посредством электрической индукции. При зарядке тела, мы создаем на нем избыток электронов или недостаток в сравнении с их нормальным количеством, при котором тело не имеет заряда. При этом электроны берутся у другого тела или удаляются из заряжаемого тела, но не уничтожаются или создаются. Важно запомнить, что процесс зарядки и разрядки тел является процедурой перераспределения электронов, при этом общее их число не изменяется.
При соединении заряженного проводника с незаряженным, заряд перераспределяется между обоими телами. Допустим, что одно тело несет отрицательный заряд, его соединяют с незаряженным телом. Электроны заряженного тела под воздействием сил взаимного отталкивания переходят на незаряженное тело. При этом заряд первого тела уменьшается, заряд второго увеличивается, до тех пор, пока не наступит равновесие.
Элементарный заряд
Немецкий физик и физиолог Г. Гельмгольц обратил внимание на то, что заряды, которые переносят ионы при явлении электролиза, являются целыми, кратными некоторой величине, равной Кл. Каждый одновалентный ион переносит такой заряд. Любой двухвалентный ион несет заряд, равный Кл, и так далее. Гельмгольц сделал вывод о том, что заряд Кл является минимальным количеством электричества, которое существует в природе. Данный заряд получил название элементарного заряда.
Закон сохранения заряда
Закон сохранения заряда является фундаментальным законом природы. Он был установлен на основании обобщения экспериментальных данных. Подтвержден в 1843 г. английским физиком М. Фарадеем.
Формулировка закона: В любой замкнутой системе алгебраическая сумма зарядов – это неизменная величина, и не важно, какие процессы происходят в этой системе:
где N – количество зарядов.
Закон Кулона
На вопрос: С какими силами взаимодействуют неподвижные точечные заряды? Отвечает закон Кулона, который можно записать в виде формулы как:
где – сила, с которой заряд действует на заряд ; – радиус вектор, который проведен от второго заряда к первому; – электрическая постоянная; – диэлектрическая проницаемость вещества в котором находятся заряды. В соответствии с третьим законом Ньютона первый заряд действует на второй с силой равной по модулю и противоположной по направлению силе Обратите внимание, что заряды в формуле (2) точечные.
Примеры решения задач по теме «Электрический заряд»
ru.solverbook.com
Формула заряда конденсатора, q
По назначению конденсатор можно сравнить с батарейкой. Но имеется принципиальное отличие в работе данных элементов. Существуют отличия в предельной емкости и скорости зарядки конденсатора и батарейки.
Формула заряда конденсатора
Величина заряда конденсатора (q) связана с его емкостью (C) и разностью потенциалов (U) между его обкладками как:
где q – величина заряда одной из обкладок конденсатора, а – разность потенциалов между его обкладками.
Электроемкость конденсатора — это величина, которая зависит то размеров и устройства конденсатора.
Заряд на пластинах плоского конденсатора равен:
где – электрическая постоянная; – площадь каждой (или наименьшей) пластины; – расстояние между пластинами; – диэлектрическая проницаемость диэлектрика, который находится между пластинами конденсатора.
Заряд на обкладках цилиндрического конденсатора вычисляется при помощи формулы:
где l – высота цилиндров; – радиус внешней обкладки; – радиус внутренней обкладки.
Заряд на обкладках сферического конденсатора найдем как:
где – радиусы обкладок конденсатора.
Заряд конденсатора связан с энергией поля (W) внутри него:
Из формулы (6) следует, что заряд можно выразить как:
Рассмотрим последовательное соединение из N конденсаторов ( рис. 1).
Здесь (рис.1) положительная обкладка одного конденсатора соединяется с отрицательной обкладкой следующего конденсатора. При таком соединении, обкладки соседних конденсаторов создают единый проводник. У всех конденсаторов, соединенных последовательно на обкладках имеются равные по величине заряды.
При параллельном соединении конденсаторов (рис.2), соединяют обкладки, имеющие заряды одного знака. Суммарный заряд соединения (q) равен сумме зарядов конденсаторов.
Примеры решения задач по теме «Заряд конденсатора»
ru.solverbook.com
Основные законы и формулы
58
ЭЛЕКТРОСТАТИКА. ПОСТОЯННЫЙ ТОК
Закон Кулона:
,
где F – сила взаимодействия двух точечных зарядов q1 и q2; r – расстояние между зарядами; - диэлектрическая проницаемость среды; 0 - электрическая постоянная
.
Закон сохранения заряда:
,
где
– алгебраическая сумма зарядов, входящих в изолированную систему;n – число зарядов.
Напряженность и потенциал электростатического поля:
;
, или
,
где
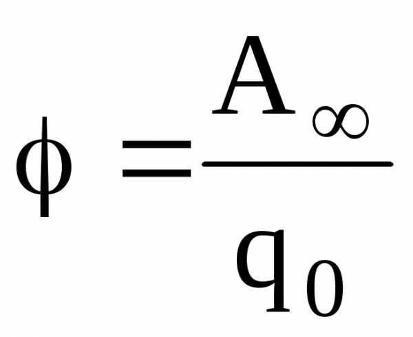
– сила, действующая на точечный положительный зарядq0, помещенный в данную точку поля; П – потенциальная энергия заряда; А∞ - работа, затраченная на перемещение заряда q0 из данной точки поля в бесконечность.
Поток вектора напряженности
электрического поля:
а) через произвольную поверхность S, помещенную в неоднородное поле:
, или
,
где – угол между вектором напряженности
и нормалью
к элементу поверхности;dS – площадь элемента поверхности; En – проекция вектора напряженности на нормаль;
б) через плоскую поверхность, помещенную в однородное электрическое поле:
.
Поток вектора напряженности
через замкнутую поверхность –

(интегрирование ведется по всей поверхности).
Теорема Остроградского-Гаусса. Поток вектора напряженностичерез любую замкнутую поверхность, охватывающую зарядыq1,q2, …,qn, –
,
где
– алгебраическая сумма зарядов, заключенных внутри замкнутой поверхности; n – число зарядов.
Напряженность электростатического поля, создаваемого точечным зарядом q на расстоянии r от заряда, –
.
Напряженность электрического поля, создаваемого сферой, имеющей радиус R и несущей заряд q, на расстоянии r от центра сферы такова:
внутри сферы (r R) Е=0;
на поверхности сферы (r=R)
;
вне сферы (r R)
.
Принцип суперпозиции (наложения) электростатических полей, согласно которому напряженность
результирующего поля, созданного двумя (и более) точечными зарядами, равна векторной (геометрической) сумме напряженностей складываемых полей, выражается формулой
.
В случае двух электрических полей с напряженностями
иабсолютное значение вектора напряженности составляет
,
где - угол между векторами
и
.
Напряженность поля, создаваемого бесконечно длинной и равномерно заряженной нитью (или цилиндром) на расстоянии r от ее оси, –
,
где - линейная плотность заряда.
Линейная плотность заряда есть величина, равная его отношению к длине нити (цилиндра):
.
Напряженность поля, создаваемого бесконечной равномерно заряженной плоскостью, –
,
где - поверхностная плотность заряда.
Поверхностная плотность заряда есть величина, равная отношению заряда, распределенного по поверхности, к ее площади:
.
Напряженность поля, создаваемого двумя бесконечными и параллельными плоскостями, заряженными равномерно и разноименно, с одинаковой по абсолютному значению поверхностной плотностью заряда (поле плоского конденсатора) –
.
Приведенная формула справедлива при вычислении напряженности поля между пластинами плоского конденсатора (в его средней части) только в том случае, если расстояние между пластинами намного меньше линейных размеров пластин конденсатора.
Электрическое смещение
связано с напряженностью
электрического поля соотношением
,
которое справедливо только для изотропных диэлектриков.
Потенциал электрического поля есть величина, равная отношению потенциальной энергии и точечного положительного заряда, помещенного в данную точку поля:
.
Иначе говоря, потенциал электрического поля есть величина, равная отношению работы сил поля по перемещению точечного положительного заряда из данной точки поля в бесконечность к величине этого заряда:
.
Потенциал электрического поля в бесконечности условно принят равным нулю.
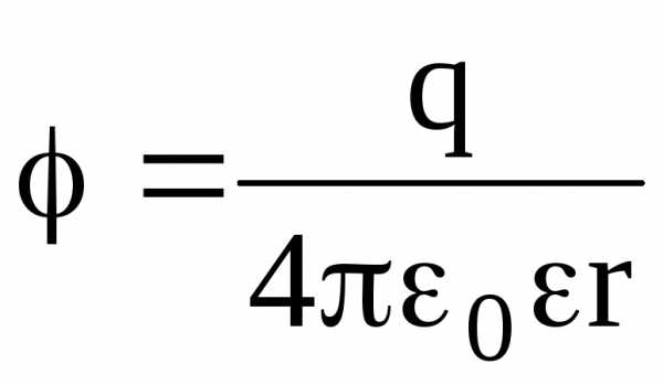
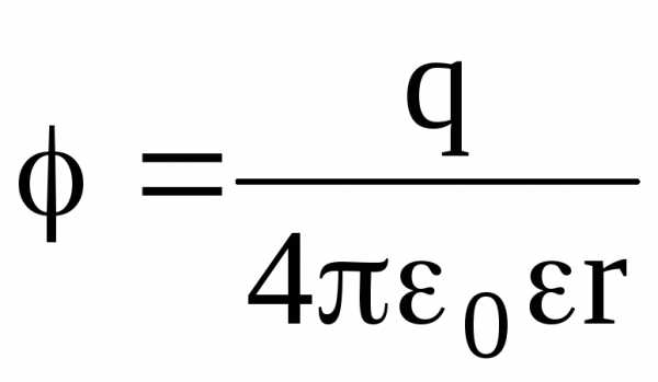
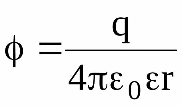
Потенциал электрического поля, создаваемый точечным зарядом q на
расстоянии r от заряда, –
.
Потенциал электрического поля, создаваемый металлической сферой, имеющей радиус R и несущей заряд q, на расстоянии r от центра сферы таков:
внутри сферы (r R)
;
на поверхности сферы (r = R)
;
вне сферы (r R)
.
Во всех формулах, приведенных для потенциала заряженной сферы, есть диэлектрическая проницаемость однородного безграничного диэлектрика, окружающего сферу.
Потенциал электрического поля, образуемого системой n точечных зарядов в данной точке в соответствии с принципом суперпозиции электрических полей, равен алгебраической сумме потенциалов , создаваемых отдельными точечными зарядами:
.
Энергия W взаимодействия системы точечных зарядов определяется работой, которую эта система может совершить при удалении их относительно друг друга в бесконечность, и выражается формулой
,
где
- потенциал поля, создаваемый всеми (n-1) зарядами (за исключением i-го) в точке, где находится заряд
.
Потенциал связан с напряженностью электрического поля соотношением
.
В случае электрического поля, обладающего сферической симметрией, эта связь выражается формулой
,
или в скалярной форме
.
В случае однородного поля, т.е. поля, напряженность которого в каждой его точке одинакова как по абсолютному значению, так и по направлению, –
,
где 1 и 2 – потенциалы точек двух эквипотенциальных поверхностей; d - расстояние между этими поверхностями вдоль электрической силовой линии.
Работа, совершаемая электрическим полем при перемещении точечного заряда q из одной точки поля, имеющей потенциал 1, в другую, имеющую потенциал 2, равна
, или
,
где E
– проекция вектора
на направление перемещения;
- перемещение.
В случае однородного поля последняя формула принимает вид
,
где
– перемещение; - угол между направлениями вектора
и перемеще-ния
.
Диполь есть система двух точечных (равных по абсолютному значению и противоположных по знаку) зарядов, находящихся на некотором расстоянии друг от друга.
Электрический момент
диполя есть вектор, направленный от отрицательного заряда к положительному, равный произведению заряда
на вектор
, проведенный от отрицательного заряда к положительному, и называемый плечом диполя, т.е.
.
Диполь называется точечным, если его плечо
намного меньше расстоянияr от центра диполя до точки, в которой нас интересует действие диполя (
r), см. рис. 1.
Рис. 1
Напряженность поля точечного диполя:
,
где р – электрический момент диполя; r – абсолютное значение радиус-вектора, проведенного от центра диполя к точке, напряженность поля в которой нас интересует; - угол между радиус-вектором
и плечом
диполя.
Напряженность поля точечного диполя в точке, лежащей на оси диполя
(=0), находится по формуле
;
в точке, лежащей на перпендикуляре к плечу диполя, восстановленном из его середины
, – по формуле
.
Потенциал поля точечного диполя в точке, лежащей на оси диполя (=0), составляет
,
а в точке, лежащей на перпендикуляре к плечу диполя, восстановленном из его середины
, –
=0.
Напряженность и потенциал неточечного диполя определяются так же как и для системы зарядов.
Механический момент, действующий на диполь с электрическим моментом р, помещенный в однородное электрическое поле с напряженностью Е, –
, или ,
где - угол между направлениями векторов
и
.
Электроемкость уединенного проводника или конденсатора –
,
где q – заряд, сообщенный проводнику;
- изменение потенциала, вызванное этим зарядом.
Электроемкость уединенной проводящей сферы радиусом R, находящейся в бесконечной среде с диэлектрической проницаемостью , –
.
Если сфера полая и заполнена диэлектриком, то ее электроемкость при этом не изменяется.
Электроемкость плоского конденсатора:
,
где S – площадь каждой пластины конденсатора; d – расстояние между пластинами; - диэлектрическая проницаемость диэлектрика, заполняющего пространство между пластинами.
Электроемкость плоского конденсатора, заполненного n слоями диэлектрика толщиной di и диэлектрической проницаемостью i каждый (слоистый конденсатор), составляет
.
Электроемкость сферического конденсатора (две концентрические сферы радиусом R1 и R2 , пространство между которыми заполнено диэлектриком с диэлектрической проницаемостью ) находится так:
.
Электроемкость последовательно соединенных конденсаторов составляет:
в общем случае –
,
где n – число конденсаторов;
в случае двух конденсаторов –
;
в случае n одинаковых конденсаторов с электроемкостью С1 каждый –
.
Электроемкость параллельно соединенных конденсаторов определяется следующим образом:
в общем случае –
С=С1+С2+…+Сn;
в случае двух конденсаторов –
С= С1+С2;
в случае n одинаковых конденсаторов с электроемкостью С1 каждый –
С=nС1.
Энергия заряженного проводника выражается через заряд q, потенциал и электроемкость С проводника следующим образом:
.
Энергия заряженного конденсатора –
,
где q – заряд конденсатора; С – электроемкость конденсатора; U – разность потенциалов на его пластинах.
studfiles.net
Формула напряжённости электрического поля
Здесь – напряжённость электрического поля, – сила, действующая на заряд, – величина заряда.
Единица измерения напряжённости электрического поля – В/м (вольт на метр) или Н/Кл (ньютон на кулон).
Напряжённость – векторная величина, характеризующая интенсивность воздействия электрического поля на заряжённую частицу в конкретной точке. Напряжённость поля в различных точках вообще говоря различна, то есть электрическое поле – это векторное поле, направление векторов которого зависит от того, как было создано это поле. По указанной формуле можно рассчитать не только силу воздействия электрического поля на точечный заряд, но и силу воздействия этого поля на заряжённое тело, если распределение заряда в нём известно.
Примеры решения задач по теме «Напряжённость электрического поля»
| Понравился сайт? Расскажи друзьям! | |||
ru.solverbook.com
| Напряженность поля точечного заряда. | |
| Обозначим: q - заряд, создающий поле, q0 - заряд, помещенный в поле (внешний заряд). Закон Кулона: . Напряженность поля: . Тогда напряженность поля точечного заряда: | |
| Теорема Гаусса. Потоком вектора напряженности наз. величина Ф, равная произведению модуля вектора напряженности на площадь контура S, ограничивающую некоторую площадь, и на косинус угла между вектором напряженности и нормалью (перпендикуляром) к площадке. |
|
| Если считать, что напряженность пропорциональна числу силовых линий, приходящихся на единицу площади поверхности (т.е. густоте), то поток напряженности пропорционален полному числу силовых линий, пересекающих данный контур. | |
| Поток линий напряженности электростатического поля через произвольную замкнутую поверхность прямо пропорционален величине заряда, находящегося в области пространства, ограниченного данной поверхностью. | |
| Применения теоремы Гаусса. |
|
| 1. Напряженность поля заряженной проводящей сферы радиуса R. Сфера заряжена по поверхности. А) Внутри сферы заряда нет . Е=0 | |
| Б) Снаружи сферы. | |
| На поверхности сферы: | |
| 2. Напряженность поля шара заряженного по объему. |
|
| Введем понятие объемной плотности заряда: Объемная плотность заряда показывает, какой заряд содержится в единице объема заряженного по всему объему тела. Объем шара произвольного радиуса . Обозначим q - заряд шара, q0 - заряд, находящийся внутри объема произвольного радиуса. | |
| Тогда заряд сферы радиуса r , будет: Следовательно: . – напряженность поля внутри шара, равномерно заряженного по объему. Снаружи - см. 1. | |
| 3. Напряженность поля бесконечной заряженной плоскости. |
|
| Введем понятие поверхностной плотности заряда: . Тогда . Коэффициент 2 появляется, т.к. плоскость окружена двумя поверхностями площадью S. Поле бесконечной заряженной плоскости не зависит от расстояния от плоскости! Можно пользоваться, когда расстояние много меньше размеров плоскости. 4. Напряженность поля плоского воздушного конденсатора. Из рисунка видим, что снаружи конденсатора поля пластин взаимно скомпенсированы, и общее поле равно нулю. Внутри конденсатора поля складываются. Используя вывод п.3 получаем: . Формула справедлива при условии, что расстояние между пластинами много меньше размеров самих пластин и вдали от краев пластин. | |
www.eduspb.com
Электрическое поле (к задачнику Рымкевича для 10-11 классов)
Электрическое поле к задачнику по физике за 10-11 классы «Физика. 10-11 класс. Пособие для общеобразовательных учебных заведений» Рымкевич А.П.
Электрическое поле и электрический заряд — первичные понятия, которые не определяются аналогично понятиям точки и прямой в геометрии. Неподвижный заряд создает вокруг себя электрическое поле. Если замкнутая система обладала зарядом q, то при любых изменениях в ней заряд q сохраняется. Это фундаментальное утверждение носит название закона сохранения заряда.
Точечным зарядом называется заряд исчезающе малых размеров. Из эксперимента известно, что два точечных заряда q1 и q2 на расстоянии r взаимодействуют с силой F, значение которой определяется законом Кулона:
где
— коэффициент пропорциональности. Когда заряды одноименные, то они отталкиваются, когда разноименные — притягиваются.
Силовой характеристикой электрического поля является вектор напряженности E;. Рассмотрим некоторый заряд q, внесенный в электрическое поле E;. Тогда на него будет действовать сила F;, которая определяется формулой: F; = qE;. Это формула может служить определением вектора напряженности электрического поля. Для графического представления электростатического поля пользуются понятием линий напряженности. Эти линии начинаются на положительных зарядах и заканчиваются на отрицательных. Касательная в каждой точке линии напряженности направлена также, как и вектор E; . Если имеется N зарядов, каждый из которых создает свое поле E1;, E2;,…, EN; , то полная напряженность в любой точке пространства E; определяется как векторная сумма этих напряженностей (принцип суперпозиции):
Для точечного заряда q значение напряженности E в точке, удаленной от него на расстоянии r, выражается формулой:
Проводником называется тело, содержащее свободные заряды. Если мы сообщим проводнику некоторый заряд q, то он распределится по поверхности, а внутри проводника поле будет равно нулю. Поверхностной плотностью о называется отношение заряда к площади поверхности проводника
Поле заряженного проводящего шара снаружи от него совпадает с полем точечного заряда, а внутри него равно нулю. Поле бесконечной заряженной проводящей плоскости с поверхностной плотностью заряда о определяется формулой:
где ε0 = 8,854⋅10-12 Ф/м — электрическая постоянная.
Диэлектриком называется тело, в котором отсутствуют свободные заряды. При помещении диэлектрика в электрическое поле происходит его поляризация, при этом поле E в диэлектрике уменьшается в ε раз:
где E0 — напряженность поля вне диэлектрика, ε — диэлектрическая проницаемость. При перемещении заряда q в электрическом поле E; на
расстояние
совершается работа A:
Изменение потенциальной энергии ΔWP равно:
Потенциал φ — энергетическая характеристика электрического поля, он определяется формулой:
Эквипотенциальные поверхности — это такие поверхности, в каждой точке которых потенциал постоянен. Потенциал поля φ в некоторой точке пространства, созданный N зарядами, равен алгебраической сумме потенциалов φ1, φ2,…, φN созданных отдельными зарядами (принцип суперпозиции): φ = φ1 + φ2 + … +
φN- Потенциал поля точечного заряда q на расстоянии r от него определяется формулой:
Напряжением U между точками A и B называется разность потенциалов:
где φ1 — потенциал в точке A, φ2 — потенциал в точке B. Напряжение U связано с напряженностью E электрического поля следующей формулой:
Конденсатором называется устройство, способное накапливать заряд. Емкость конденсатора C определяется как отношение заряда q на его обкладках к приложенному напряжению U:
Емкость не зависит от заряда и напряжения на нем, а определяется его геометрическими свойствами (формой и размером) и родом среды. Для плоского конденсатора емкость равна:
где ε — диэлектрическая проницаемость среды между обкладками, S — площадь обкладок, d — расстояние между обкладками. Энергия заряженного конденсатора W определяется формулой:
Плотность энергии ω электрического поля E выражается формулой:
5terka.com
Электрический заряд определение и формула. Основные законы и формулы
Закон Кулона:
где F – сила взаимодействия двух точечных зарядов q 1 и q 2 ; r – расстояние между зарядами; - диэлектрическая проницаемость среды; 0 - электрическая постоянная
.
Закон сохранения заряда:
,
где – алгебраическая сумма зарядов, входящих в изолированную систему;n – число зарядов.
Напряженность и потенциал электростатического поля:
;
, или
,
где – сила, действующая на точечный положительный зарядq 0 , помещенный в данную точку поля; П – потенциальная энергия заряда; А ∞ - работа, затраченная на перемещение заряда q 0 из данной точки поля в бесконечность.
Поток вектора напряженности электрического поля:
а) через произвольную поверхность S, помещенную в неоднородное поле:
, или
,
где – угол между вектором напряженности и нормальюк элементу поверхности;dS – площадь элемента поверхности; E n – проекция вектора напряженности на нормаль;
б) через плоскую поверхность, помещенную в однородное электрическое поле:
.
Поток вектора напряженности через замкнутую поверхность –
(интегрирование ведется по всей поверхности).
Теорема Остроградского-Гаусса. Поток вектора напряженностичерез любую замкнутую поверхность, охватывающую зарядыq1,q2, …,qn, –
,
где – алгебраическая сумма зарядов, заключенных внутри замкнутой поверхности; n – число зарядов.
Напряженность электростатического поля, создаваемого точечным зарядом q на расстоянии r от заряда, –
.
Напряженность электрического поля, создаваемого сферой, имеющей радиус R и несущей заряд q, на расстоянии r от центра сферы такова:
внутри сферы (r R) Е=0;
на поверхности сферы (r=R)
;
вне сферы (r R)
.
Принцип суперпозиции (наложения) электростатических полей, согласно которому напряженность результирующего поля, созданного двумя (и более) точечными зарядами, равна векторной (геометрической) сумме напряженностей складываемых полей, выражается формулой
В случае двух электрических полей с напряженностями иабсолютное значение вектора напряженности составляет
где - угол между векторами и.
Напряженность поля, создаваемого бесконечно длинной и равномерно заряженной нитью (или цилиндром) на расстоянии r от ее оси, –
,
где - линейная плотность заряда.
Линейная плотность заряда есть величина, равная его отношению к длине нити (цилиндра):
ruscos.ru











