ул.Симферопольская
дом 5, офис 9
Корзина
Корзина пуста
Большая Энциклопедия Нефти и Газа. Что такое входное напряжение
Входное напряжение:
|
|
|
| Рис. 2.1 | Рис. 2.2 |
Таблица 2.1
| № | Расчетная схема |
| 1. 7. 13. 19. | |
| 2. 8. 14. 20. | |
| 3. 9. 15. | |
| 4. 10. 16. | |
| 5. 11. 17. | |
| 6. 12. 18. |
Таблица 2.2
| № | 0 | 1 | 2 | 3 | 4 | 5 | 6 | 7 | 8 | 9 |
| R1, Ом | 20 | 60 | 30 | 10 | 40 | 80 | 5 | 50 | 15 | 70 |
| R2, Ом | 10 | 20 | 10 | 60 | 20 | 50 | 10 | 80 | 10 | 25 |
| R3, Ом | 10 | 40 | 20 | 50 | 10 | 100 | 2 | 60 | 5 | 15 |
| L, Гн | 0,4 | 0,2 | 0,6 | 0,1 | 0,5 | 0,8 | 0,3 | 0,45 | 0,7 | 0,9 |
| C, мкФ | 15 | 6 | 25 | 8 | 20 | 12 | 30 | 22 | 18 | 26 |
| U1, В | 25 | 100 | 150 | 20 | 120 | 10 | 40 | 80 | 180 | 30 |
| U2, В | 55 | 50 | 30 | 80 | 40 | 50 | 120 | 120 | 150 | 90 |
Краткая теория и примеры
Переходные процессы возникают при коммутации электрической цепи или при изменении параметров элементов схемы. Во время переходного процесса один установившийся режим сменяется другим. Второй установившийся режим называется принужденным. Принято, что коммутация происходит мгновенно в момент
. Установившийся режим до коммутации заканчивается при
. При
начинается переходный процесс, а принужденный режим устанавливается при
.
По законам коммутации в момент
не могут изменяться скачком напряжения
на емкостных элементах или суммарный заряд
на обкладках конденсаторов, присоединенных к любому узлу схемы после коммутации, а также токи
в ветвях с индуктивными элементами или суммарное потокосцепление
каждого контура послекоммутационной схемы. Остальные токи и напряжения в момент коммутации могут изменяться скачком.
При действии в цепи постоянных, синусоидальных и других периодических напряжений и токов переходные процессы рассчитываются классическим или операторным методами.
Во время переходного процесса токи и напряжения представляются в виде суммы принужденного и свободного составляющих, которые рассчитываются отдельно: .
Установившиеся до коммутации и принужденные составляющие определяются известными методами расчета цепей постоянного или переменного токов. Свободные составляющие обусловлены изменением энергии реактивных элементов схемы и затухают до нуля к окончанию переходного процесса.
При действии в цепи непериодических источников тока или напряжения расчет целесообразно вести методом наложения с использованием интеграла Дюамеля.
Расчет переходных процессов в сложных электрических цепях с большим количеством реактивных элементов и в нелинейных электрических цепях ведут численным методом.
1. Классический метод расчета переходных процессов
Расчет переходных процессов классическим методом основан на непосредственном решении описывающих их дифференциальных уравнений. Выражение для свободной составляющей определяется количеством и видом корней
характеристического уравнения. Характеристическое уравнение
можно получить, приравняв нулю входное сопротивлениеи заменивна
в выражении для входного сопротивления, определенного относительно любой ветви схемы. Рекомендуется определять входное сопротивление относительно ветви с реактивным элементом.
В общем случае, когда корни характеристического уравнения вещественные и не равны между собой, выражение для свободной составляющей имеет вид
.
Если корни характеристического уравнения вещественны и равные, то
.
В случае комплексно-сопряженных корней свободная составляющая
Рекомендуется следующий порядок расчета
1. Рассчитывают установившийся режим до и после коммутации.
2. С помощью уравнений
и
находят свободные составляющие
и
независимых начальных условий
и
3. Составляют характеристическое уравнение и находят его корни.
4. В зависимости от вида корней записывают выражения для искомых переходных токов и напряжений в общем виде, в которых неизвестными являются постоянные интегрирования. Существуют два способа определения постоянных интегрирования.
5. После определения постоянных интегрирования, записывают окончательно выражения для токов и напряжений переходного режима
.
Расчет переходных процессов в цепях первого порядка
1. В схеме (рис. 1.1а)
Найти выражения для токов
и напряжения
переходного процесса.
Пример решения
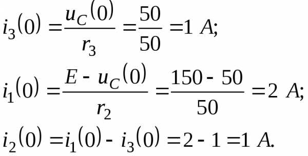
До коммутации в схеме был установившийся режим постоянного тока
Напряжение на конденсаторе в момент коммутации не изменяется, следовательно,
Принужденный режим послекоммутационной схемы обусловлен воздействием постоянной ЭДС. Поэтому, начиная с момента
, принужденные составляющие токов и напряжений остаются постоянными:
Составляем характеристическое уравнение и находим его корни
Определяем комплекс входного сопротивления послекоммутационной схемы относительно ветви с конденсатором (рис. 1.1б):
тогда характеристическое уравнение
Корень характеристического уравнения
Записываем в общем виде выражения для токов и напряжения на конденсаторе в переходном режиме для послекоммутационной схемы:
и
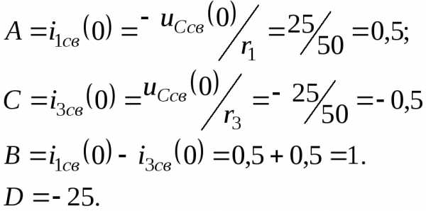
Постоянные интегрирования можно определить двумя способами.
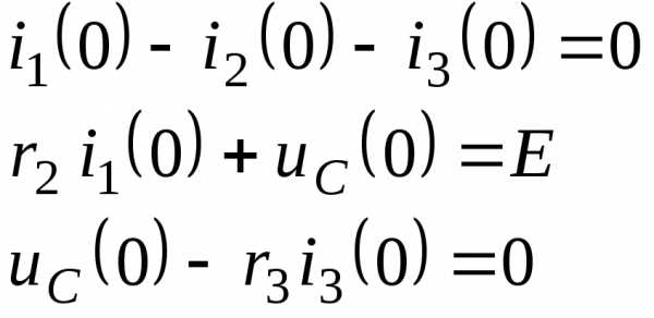
Первый способ
Составляем систему уравнений по законам Кирхгофа для принужденного режима и решаем ее при 
,
откуда

Определяем постоянные интегрирования при
:

Второй способ
Составляем систему уравнений по законам Кирхгофа для свободного режима при
(рис, 1.1б), когда исключен источник принужденного режима.

откуда

Подставив постоянные интегрирования в выражения токов и напряжения на конденсаторе в общем виде для переходного режима, получим
studfiles.net
входное напряжение - это... Что такое входное напряжение?
входное напряжение- Udin
- declared input voltage
входное напряжениеUdinНапряжение, определяемое напряжением в системе электроснабжения и коэффициентом преобразования измерительного преобразователя.[ГОСТ Р 51317.4.30-2008 (МЭК 61000-4-30:2008)]
EN
declared input voltageUdin value obtained from the declared supply voltage by a transducer ratio [IEC 61000-4-30, ed. 2.0 (2008-10)]
FR
tension d’entrée déclaréeUdin valeur obtenue à partir de la tension d’alimentation déclarée d’un rapport de transformation [IEC 61000-4-30, ed. 2.0 (2008-10)]
Тематики
- качество электрической энергии
Синонимы
EN
- declared input voltage
- Udin
FR
- tension d’entrée déclarée
- Udin
Русско-английский словарь нормативно-технической терминологии. academic.ru. 2015.
- входное нагрузочное сопротивление пьезоэлектрического (электромеханического) фильтра
- входное напряжение оптопары (оптоэлектронного коммутатора, оптоэлектронного переключателя)
Смотреть что такое "входное напряжение" в других словарях:
входное напряжение — Udin Напряжение, определяемое напряжением в системе электроснабжения и коэффициентом преобразования измерительного преобразователя. [ГОСТ Р 51317.4.30 2008 (МЭК 61000 4 30:2008)] EN declared input voltage Udin value obtained from the declared… … Справочник технического переводчика
входное напряжение — 3.3 входное напряжение (declared input voltage) Udin: Напряжение, определяемое напряжением в системе электроснабжения и коэффициентом преобразования измерительного преобразователя. Источник … Словарь-справочник терминов нормативно-технической документации
входное напряжение — įėjimo įtampa statusas T sritis automatika atitikmenys: angl. input voltage vok. Eingangsspannung, f rus. входное напряжение, n pranc. tension d entrée, f … Automatikos terminų žodynas
входное напряжение — įėjimo įtampa statusas T sritis Standartizacija ir metrologija apibrėžtis Įtampa, veikianti elektrinio arba elektroninio įtaiso įėją. atitikmenys: angl. input voltage vok. Eingangsspannung, f rus. входное напряжение, n pranc. tension d’entrée, f … Penkiakalbis aiškinamasis metrologijos terminų žodynas
входное напряжение — įėjimo įtampa statusas T sritis fizika atitikmenys: angl. input voltage vok. Eingangsspannung, f rus. входное напряжение, n pranc. tension d’entrée, f … Fizikos terminų žodynas
входное напряжение высокого уровня интегральной микросхемы — входное напряжение высокого уровня Напряжение высокого уровня на выходе интегральной микросхемы. Обозначение U1вх UIH Примечание Напряжение высокого уровня наиболее положительное (наименее отрицательное) напряжение. [ГОСТ 19480 89] Тематики… … Справочник технического переводчика
входное напряжение низкого уровня интегральной микросхемы — входное напряжение низкого уровня Напряжение низкого уровня на входе интегральной микросхемы. Обозначение U0вх UIL Примечание Напряжение низкого уровня наименее положительное (наиболее отрицательное) напряжение. [ГОСТ 19480 89] Тематики… … Справочник технического переводчика
входное напряжение интегральной микросхемы — входное напряжение Напряжение на входе интегральной микросхемы в заданном режиме. Обозначение Uвх UI [ГОСТ 19480 89] Тематики микросхемы Синонимы входное напряжение … Справочник технического переводчика
входное напряжение лампы — входное напряжение Изменяющееся во времени напряжение, подводимое к входным выводам лампы. [ГОСТ 20412 75] Тематики электровакуумные приборы Синонимы входное напряжение … Справочник технического переводчика
входное напряжение покоя интегральной микросхемы — входное напряжение покоя Постоянное напряжение на входе интегральной микросхемы с невключенным входом или с нулевым входным сигналом. Обозначение U0вх UIQ [ГОСТ 19480 89] Тематики микросхемы Синонимы входное напряжение покоя … Справочник технического переводчика
входное напряжение блокировки интегральной микросхемы — входное напряжение блокировки Наименьшее значение напряжения на входе интегральной микросхемы при заданном значении входного тока. Обозначение Uвх.бл UIK [ГОСТ 19480 89] Тематики микросхемы Синонимы входное напряжение блокировки … Справочник технического переводчика
normative_ru_en.academic.ru
входное напряжение - это... Что такое входное напряжение?
входное напряжениеinput voltage
Англо-русский словарь технических терминов. 2005.
- входное ЗУ
- входное напряжение покоя
Смотреть что такое "входное напряжение" в других словарях:
входное напряжение — Udin Напряжение, определяемое напряжением в системе электроснабжения и коэффициентом преобразования измерительного преобразователя. [ГОСТ Р 51317.4.30 2008 (МЭК 61000 4 30:2008)] EN declared input voltage Udin value obtained from the declared… … Справочник технического переводчика
входное напряжение — 3.3 входное напряжение (declared input voltage) Udin: Напряжение, определяемое напряжением в системе электроснабжения и коэффициентом преобразования измерительного преобразователя. Источник … Словарь-справочник терминов нормативно-технической документации
входное напряжение — įėjimo įtampa statusas T sritis automatika atitikmenys: angl. input voltage vok. Eingangsspannung, f rus. входное напряжение, n pranc. tension d entrée, f … Automatikos terminų žodynas
входное напряжение — įėjimo įtampa statusas T sritis Standartizacija ir metrologija apibrėžtis Įtampa, veikianti elektrinio arba elektroninio įtaiso įėją. atitikmenys: angl. input voltage vok. Eingangsspannung, f rus. входное напряжение, n pranc. tension d’entrée, f … Penkiakalbis aiškinamasis metrologijos terminų žodynas
входное напряжение — įėjimo įtampa statusas T sritis fizika atitikmenys: angl. input voltage vok. Eingangsspannung, f rus. входное напряжение, n pranc. tension d’entrée, f … Fizikos terminų žodynas
входное напряжение высокого уровня интегральной микросхемы — входное напряжение высокого уровня Напряжение высокого уровня на выходе интегральной микросхемы. Обозначение U1вх UIH Примечание Напряжение высокого уровня наиболее положительное (наименее отрицательное) напряжение. [ГОСТ 19480 89] Тематики… … Справочник технического переводчика
входное напряжение низкого уровня интегральной микросхемы — входное напряжение низкого уровня Напряжение низкого уровня на входе интегральной микросхемы. Обозначение U0вх UIL Примечание Напряжение низкого уровня наименее положительное (наиболее отрицательное) напряжение. [ГОСТ 19480 89] Тематики… … Справочник технического переводчика
входное напряжение интегральной микросхемы — входное напряжение Напряжение на входе интегральной микросхемы в заданном режиме. Обозначение Uвх UI [ГОСТ 19480 89] Тематики микросхемы Синонимы входное напряжение … Справочник технического переводчика
входное напряжение лампы — входное напряжение Изменяющееся во времени напряжение, подводимое к входным выводам лампы. [ГОСТ 20412 75] Тематики электровакуумные приборы Синонимы входное напряжение … Справочник технического переводчика
входное напряжение покоя интегральной микросхемы — входное напряжение покоя Постоянное напряжение на входе интегральной микросхемы с невключенным входом или с нулевым входным сигналом. Обозначение U0вх UIQ [ГОСТ 19480 89] Тематики микросхемы Синонимы входное напряжение покоя … Справочник технического переводчика
входное напряжение блокировки интегральной микросхемы — входное напряжение блокировки Наименьшее значение напряжения на входе интегральной микросхемы при заданном значении входного тока. Обозначение Uвх.бл UIK [ГОСТ 19480 89] Тематики микросхемы Синонимы входное напряжение блокировки … Справочник технического переводчика
dic.academic.ru
Номинальное входное напряжение (чувствительность)
Номинальным входным напряжением называется напряжение, которое нужно подвести к входу усилителя, чтобы получить на выходе заданную мощность. Чем меньше величина входного напряжения, обеспечивающего требуемую выходную мощность, тем выше чувствительность усилителя. Подача на вход усилителя напряжения, превышающего номинальное, приводит к значительным искажениям сигнала и называется перегрузкой со стороны входа. Если усилитель предназначен для работы от нескольких источников, то его вход рассчитывается обычно на наименьшее напряжение, которое дает один из источников, а другие источники сигнала включаются через делители напряжения.
Структурная схема усилителя
Как было сказано ранее, большинство усилителей состоят из нескольких каскадов (усилительный каскад – часть, образующая одну ступень усиления). Их обобщенная структурная схема была приведена на рис. 5. На ней можно выделить входной, выходной и промежуточные каскады, которые располагаются между первыми двумя.
Основной задачей входного каскада является согласования электрических характеристик источника входного сигнала и усилителя. Особенности его построения во многом определяются характеристиками источника сигнала. Например, очень часто общие точки («земля») датчиков не имеют электрического соединения с общей точкой («землей») усилителя. В этом случае входной каскад должен строиться по схеме дифференциального усилителя. Большинство первичных датчиков являются маломощными, «хорошо» работающими на нагрузку с большим сопротивлением. В некоторых случаях, датчик построен по схеме «генератора стабильного тока», для которого необходима нагрузка (входное сопротивление водного каскада усилителя) со сравнительно небольшим сопротивлением. Все это должно учитываться при выборе схемы и проектировании входного каскада.
Выходной каскаддолжен обеспечить подачу в нагрузку заданной мощности сигнала. Поэтому он обычно называется усилителем мощности. При его проектировании, несомненно, учитываются особенности реальной нагрузки. Например, изолированная (не допускающая заземления) нагрузка может привести к использованию специальных схемотехнических решений. Так как сигнал в выходном усилителе достигает максимальных величин, то при проектировании большое внимание уделяется получению минимальных искажениях его формы.
Все каскады между входным и выходным называются промежуточными или каскадами предварительного усиления. Для уменьшения энергетических потерь (получения большего К.П. Д) оказалось выгодным возложить на них функцию максимального усиления по напряжению. Зачастую сигнал, приходящий на оконечный каскад, имеет напряжение такой же величины, как и в нагрузке. Поэтому основная часть нелинейных искажений, которыми характеризуется усилитель, возникает в оконечном каскаде, что должно учитываться при его проектировании. Количество каскадов предварительного усиления определяется необходимым усилением. Обычно в предварительных каскадах осуществляется необходимая обработка входного сигнала, например, регулировка усиления, фильтрация входного сигнала и т.п.
Очень часто между каскадами предварительного усиления и каскадом усиления мощности включается так называемый предоконечный каскад, задача которого состоит в обеспечении нормального функционирования усилителя мощности. Например, предоконечный каскад в виде фазоинверсного каскада обеспечивает работу двухтактного усилителя мощности. В некоторых случаях его объединяют с усилителем мощности и проводят совместный расчет.
Характерной особенностью современных электронных усилителей является исключительное многообразие схем, по которым они могут быть построены. Однако среди этого многообразия можно выделить наиболее типичные схемы, содержащие элементы и цепи, которые чаще всего встречаются в усилительных устройствах независимо от их функционального назначения.
Современные усилители выполняются преимущественно на биполярных и полевых транзисторах в дискретном или интегральном исполнении, причем усилители в микроисполнении отличаются от своих дискретных аналогов, главным образом, конструктивно-технологическими особенностями, схемные же построения принципиальных отличий не имеют. При построении усилительных устройств наибольшее распространение получили каскады на биполярных и полевых транзисторах, использующие соответственно схемы включения транзистора с общим эмиттером и общим истоком. Реже используются схемы включения с общим коллектором и общим стоком. Схемы включения с общей базой или общим затвором находят применение только в узком классе устройств, например во входных цепях радиоприемных устройств, работающих в диапазоне УКВ. Рассмотрение таких каскадов, в силу специфики построения, связанной с сильным влиянием на их свойства паразитных параметров реальной конструкции каскада, требует самостоятельного рассмотрения и выходит за рамки настоящего курса. Поэтому в дальнейшем будем рассматривать только специфику построения и основные параметры каскадов, использующих соответственно схемы включения с общим эмиттером и общим коллектором для биполярных и с общим истоком и общим стоком для полевых транзисторов.
Наименование (обозначение) усилителя производится в соответствии со схемой включения транзистора: усилитель ОЭ, ОК, ОБ, ОИ и ОЗ.
Некоторые представители физиологических сигналов таб.1, требующих предварительного усиления для дальнейшей обработки:
Таблица 1
| Физиологический сигнал | Амплитуда сигнала, мВ | Динамический диапазон | Полоса частот, Гц |
| ЭКГ (электрокардиограмма) | 0,3 - 3 | 0,5 - 400 | |
| ФКГ (фонокардиограмма) | 10 - 100 | 20 - 800 | |
| РГ (реограмма) | 1 - 10 | 0,3 - 30 | |
| ЭМГ (электромиограмма) | 0,02 - 3 | 1 - 10 000 | |
| ЭГГ (электрогастрограмма) | 0,01 - 0,4 | 0,02 - 0,06 |
Выполнение работы и составление отчета по лабораторной №5
ТИТУЛЬНЫЙ ЛИСТ.
ГОУВПО «СМОЛЕНСКАЯ ГОСУДАРСТВЕННАЯ МЕДИЦИНСКАЯ АКАДЕМИЯ РОСЗДРАВА»
ФЕДЕРАЛЬНОЕ АГЕНТСТВО ПО ЗДРАВООХРАНЕНИЮ И СОЦИАЛЬНОМУ РАЗВИТИЮ»
Кафедра медицинской и биологической физики
Тема: Медицинская электроника
Лабораторная работа 3э
Изучение усилителя электрических сигналов
Студент:_________________________
Группа: _________________________
Преподаватель:___________________
Дата:____________________________
Смоленск
Цели работы
1. Снять амплитудную и частотную характеристики усилителя;
2. Уметь определять по ним основные метрологические характеристики усилителя – коэффициент усиления, динамический диапазон, частотный диапазон на уровне затухания 3дб;
3. Сделать вывод о возможности использования данного усилителя в качестве усилителя биоэлектрических сигналов.
Основные понятия
Знать основные метрологические характеристики усилителя. Усилительный каскад на транзисторе и принцип его работы.
Приборы и принадлежности
Звуковой генератор, электронный усилитель, ламповый вольтметр переменного тока, соединительные провода.

Рис.1. Внешний вид экспериментальной установки
Не нашли то, что искали? Воспользуйтесь поиском гугл на сайте:
zdamsam.ru
входное напряжение - это... Что такое входное напряжение?
входное напряжениеgiriş gerilimi
Турецко-русский словарь и русско-турецкий словарь по строительству и архитектуре. В.И. Макаров. 2005.
- входная плата
- входное отверстие
Смотреть что такое "входное напряжение" в других словарях:
входное напряжение — Udin Напряжение, определяемое напряжением в системе электроснабжения и коэффициентом преобразования измерительного преобразователя. [ГОСТ Р 51317.4.30 2008 (МЭК 61000 4 30:2008)] EN declared input voltage Udin value obtained from the declared… … Справочник технического переводчика
входное напряжение — 3.3 входное напряжение (declared input voltage) Udin: Напряжение, определяемое напряжением в системе электроснабжения и коэффициентом преобразования измерительного преобразователя. Источник … Словарь-справочник терминов нормативно-технической документации
входное напряжение — įėjimo įtampa statusas T sritis automatika atitikmenys: angl. input voltage vok. Eingangsspannung, f rus. входное напряжение, n pranc. tension d entrée, f … Automatikos terminų žodynas
входное напряжение — įėjimo įtampa statusas T sritis Standartizacija ir metrologija apibrėžtis Įtampa, veikianti elektrinio arba elektroninio įtaiso įėją. atitikmenys: angl. input voltage vok. Eingangsspannung, f rus. входное напряжение, n pranc. tension d’entrée, f … Penkiakalbis aiškinamasis metrologijos terminų žodynas
входное напряжение — įėjimo įtampa statusas T sritis fizika atitikmenys: angl. input voltage vok. Eingangsspannung, f rus. входное напряжение, n pranc. tension d’entrée, f … Fizikos terminų žodynas
входное напряжение высокого уровня интегральной микросхемы — входное напряжение высокого уровня Напряжение высокого уровня на выходе интегральной микросхемы. Обозначение U1вх UIH Примечание Напряжение высокого уровня наиболее положительное (наименее отрицательное) напряжение. [ГОСТ 19480 89] Тематики… … Справочник технического переводчика
входное напряжение низкого уровня интегральной микросхемы — входное напряжение низкого уровня Напряжение низкого уровня на входе интегральной микросхемы. Обозначение U0вх UIL Примечание Напряжение низкого уровня наименее положительное (наиболее отрицательное) напряжение. [ГОСТ 19480 89] Тематики… … Справочник технического переводчика
входное напряжение интегральной микросхемы — входное напряжение Напряжение на входе интегральной микросхемы в заданном режиме. Обозначение Uвх UI [ГОСТ 19480 89] Тематики микросхемы Синонимы входное напряжение … Справочник технического переводчика
входное напряжение лампы — входное напряжение Изменяющееся во времени напряжение, подводимое к входным выводам лампы. [ГОСТ 20412 75] Тематики электровакуумные приборы Синонимы входное напряжение … Справочник технического переводчика
входное напряжение покоя интегральной микросхемы — входное напряжение покоя Постоянное напряжение на входе интегральной микросхемы с невключенным входом или с нулевым входным сигналом. Обозначение U0вх UIQ [ГОСТ 19480 89] Тематики микросхемы Синонимы входное напряжение покоя … Справочник технического переводчика
входное напряжение блокировки интегральной микросхемы — входное напряжение блокировки Наименьшее значение напряжения на входе интегральной микросхемы при заданном значении входного тока. Обозначение Uвх.бл UIK [ГОСТ 19480 89] Тематики микросхемы Синонимы входное напряжение блокировки … Справочник технического переводчика
building_ru_tr.academic.ru
Входное напряжение - переменный ток
Входное напряжение - переменный ток
Cтраница 1
Входное напряжение переменного тока с обмотки распределительного трансформатора Тр, первичная обмотка которого подключена к синхронному возбудителю, подается на синхронизирующую цепь ( СЦ), осуществляющую переключение транзисторов преобразователя напряжения ( ПН) синхронно с частотой напряжения питания блока БВК-1012. Блокинг-генераторы формируют импульсы заданной длительности и напряжения. Эти импульсы подаются на цепи управления тиристоров управляемого выпрямителя возбуждения. [2]
Для предотвращения выброса выходного напряжения при запуске стабилизатора кнопка К должна быть нажата прежде, чем входное напряжение переменного тока будет приложено к выпрямителю. Поскольку предполагается, что время задержки стабилизатора мало по сравнению с постоянной времени фильтра нестабилизированного источника, стабилизация выходного напряжения начнется раньше, чем входное нестабилизированное напряжение заметно превысит стабилизированное. [3]
Для того чтобы получить величину выпрямленного напряжения, в несколько раз большую, чем заданная амплитуда входного напряжения переменного тока, применяют схемы выпрямления с одновременным умножением напряжения. Такие схемы могут быть однофазными и многофазными, симметричными и несимметричными трансформаторными и бестрансформаторными. Принцип работы таких выпрямителей состоит в том, что последовательно включенные конденсаторы разряжаются на нагрузку. Схемы выпрямителей с умножением напряжения целесообразно применять для получения высокого выпрямленного напряжения с малым током в нагрузке. Их успешно используют в схемах с полупроводниковыми вентилями. [5]
Если возникает необходимость изменить в таких выпрямителях напряжение U0 или ток в нагрузке /, приходится регулировать входное напряжение переменного тока. [6]
Демодуляторы ключевого типа на транзисторах обеспечивают наиболее стабильный режим работы при высокой линейности выходного сигнала постоянного тока в функции входного напряжения переменного тока. [8]
Демодуляторе ключевого типа на транзисторах обеспечивает наиболее стабильный режим работы при высокой линейности выходного сигнала постоянного тока в функции входного напряжения переменного тока. [9]
В зависимости от рода входного сигнала усилители разделяются на два типа: УЭД1 - усилители с входным напряжением постоянного тока ( преобразуемым в напряжение переменного тока частотой 50 гц) и УЭД2 - усилители с входным напряжением переменного тока частотой 50 гц. [10]
В качестве точного выпрямителя в кодирующем преобразователе применяется выпрямитель среднего значения П220, выполненный в виде отдельного блока - приставки к щитовым цифровым вольтметрам тппа Ф220 и позволяющий получать на выходе постоянное напряжение до 5 В при входном напряжении переменного тока до 10 В. Поэтому максимальное фазное напряжение сельсина уменьшается до 10 В и после выпрямления подается на вход нуль-органа. Нуль-орган используется также от прибора Ф220 и выполнен по диодно-регенеративной схеме. [11]
Выберите соответствующее входное напряжение переменного тока, учитывая, что падение напряжения на диоде составляет 0 6 В. При расчете правильно задайте частоту пульсаций. [13]
Выберите соответствующее входное напряжение переменного тока, учитывая, что падение напряжения на диоде составляет 0 6 В. При расчете правильно задайте частоту пульсации. [14]
В зависимости от входного сигнала выпускаются следующие типы усилителей: УЭД1 с входным напряжением постоянного тока, преобразуемым в напряжение переменного тока; УЭД2 с входным напряжением переменного тока. Эти усилители состоят из следующих узлов: входного блока, усилителя напряжения, выходного блока, силового трансформатора и переходного трансформатора. [15]
Страницы: 1 2
www.ngpedia.ru
Входное постоянное напряжение - Большая Энциклопедия Нефти и Газа, статья, страница 1
Входное постоянное напряжение
Cтраница 1
Входное постоянное напряжение t / Bx npfliMO пропорционально числу импульсов на выходе преобразователя. [1]
Входное постоянное напряжение Ux подается на управляющие зажимы элемента Холла. [2]
Ua - входное постоянное напряжение, эквивалентное помехе по результатам действия на прибор. [3]
Для преобразования входного постоянного напряжения в переменное применяются модуляторы, в которых используется периодическое изменение абсолютной магнитной проницаемости. [4]
Выходное переменное напряжение модулятора частоты 50 гц имеет амплитуду, пропорциональную входному постоянному напряжению, и фазу, определяемую полярностью сигнала. [5]
Выходная характеристика основного усилителя смещена на 2 В таким образом что входному постоянному напряжению - 1 В соответствует выходное напряжение 1 В, входному напряжению 0 - выходное напряжение 2 В, входному напряжению 2 В - выходное напряжение 4 В. [7]
При проведении работы необходимая частота входного сигнала устанавливается нереключаетелем П 1, амплитуда входного постоянного напряжения - переключателем П2, режим работы ОУ - переключателями ПЗ и 114, вынесенными на лицевую панель стенда. Измерения производятся с помощью осциллографа. [8]
Существенно, что напряжение С / ВыХ - [ / 0 определяется не только входным постоянным напряжением Е, но и соотношением интервалов времени TI и Т2, в течение которых ключ замкнут и разомкнут. [9]
В режиме работы преобразователя постоянного напряжения в переменное с широтно-импульсной модуляцией ( ШИМ), входное постоянное напряжение является фиксированной величиной, а заданное выходное напряжение можно получить путем выбора режима ШИМ. Однако в преобразователе со связью по постоянному току нагрузка источника постоянного напряжения является высокочастотной, так как ток потребления преобразователя с ШИМ в каждом периоде преобразования пересекает нулевой уровень. Таким образом, достижение оптимальных условий работы преобразователя зависит от характеристик других приборов, подключенных параллельно к шине питания постоянного напряжения. Резонансный преобразователь, работающий в режиме ши-ротно-импулъсной модуляции, также не может обеспечить постоянство нагрузки источника питания при некоторых режимах его работы. [11]
В основу работы преобразователя напряжения в частоту ( U - f) положен метод интегрирования входного постоянного напряжения. В момент, когда выходное напряжение интегратора становится равным уровню срабатывания компаратора, запускается формирователь. Последний выдает на вход интегратора нормированный импульс обратной связи, полярность которого обратна полярности входного напряжения, и вызывает разряд интегратора. Этот процесс повторяется с частотой, пропорциональной входному напряжению. Для обеспечения необходимой стабильности формирователь помещен в активный термостат. [12]
Преобразователь постоянного напряжения одного уровня в другой составляется обычно из двух звеньев: 1) инвертора, преобразующего входное постоянное напряжение в выходное переменное, и 2) выпрямителя, преобразующего входное переменное напряжение в выходное постоянное. [14]
Планка; U - приложенное к сверхпроводникам напряжение), можно установить связь между частотой со выходного сигнала и входным постоянным напряжением через заряд электрона и постоянную Планка. Использование эффекта Зеемана, заключающегося в расщеплении энергетических уровней атомов под влиянием напряженности магнитного поля, позволяет при определенных условиях установить связь между частотой электромагнитных колебаний и напряженностью магнитного поля через заряд и массу электрона. [15]
Страницы: 1 2 3
www.ngpedia.ru













